You can learn 15+ pages corporate valuation theory evidence and practice solution manual solution in Google Sheet format. Copeland 1983 A recognized classic Financial Theory and Corporate Policy is thoroughly updated in this third edition. Appropriate for the. Using the unifying valuation framework based on the Law of One Price Corporate Finance Fourth Canadian. Check also: corporate and corporate valuation theory evidence and practice solution manual 18 Solution Manual Of Corporate Finance Jonathan Berk Peter Demarzo.
The authors provide a concise unified treatment of finance combining theory empirical evidence and applications. Where To Download Financial Theory And Corporate Policy Solution Manual analysis.

Problems And Solutions Manual Manualzz Chegg Solution Manuals are written by vetted Chegg experts and rated by students - so you know youre getting high quality answers.
| Topic: Be forewarned that it is almost 600 slides and is a very large file. Problems And Solutions Manual Manualzz Corporate Valuation Theory Evidence And Practice Solution Manual |
| Content: Answer Sheet |
| File Format: PDF |
| File size: 2.6mb |
| Number of Pages: 24+ pages |
| Publication Date: July 2020 |
| Open Problems And Solutions Manual Manualzz |
23Read PDF Financial Theory And Corporate Policy Solution Manual.

5500 Add to cart. NEW co-author Kuldeep Shastri renowned scholar and teacher joins a powerful team of authors offering further depth and mathematical sophistication to this popular well-established book. 2 Bookmark File PDF Solution Manual To Corporate Finance 5th Edition doctoral students the text prepares students for the complex world of modern financial scholarship and practice. If you prefer the entire file to print off as a pdf file click here. 23Solutions Manual for Financial Theory and Corporate Policy Second Edition-Thomas E. 21Financial Theory and Corporate Policy 4th Edition.

Solutions Manual For New Venture Creation Entrepreneurship For The 21st Century 10th Edition S Crawford887 Issuu Solution Manual for The Legal Environment of Business A Managerial Approach.
| Topic: 2 Download Free Financial Theory And Corporate Policy 4th Edition Strategic Corporate Finance International Finance A recognized classic Financial Theory and Corporate Policy is thoroughly updated in this third edition. Solutions Manual For New Venture Creation Entrepreneurship For The 21st Century 10th Edition S Crawford887 Issuu Corporate Valuation Theory Evidence And Practice Solution Manual |
| Content: Synopsis |
| File Format: Google Sheet |
| File size: 6mb |
| Number of Pages: 55+ pages |
| Publication Date: March 2021 |
| Open Solutions Manual For New Venture Creation Entrepreneurship For The 21st Century 10th Edition S Crawford887 Issuu |
![]()
Corporate Valuation 2e Cambridge Business Publishers It presents a unified treatment of finance combining theory empirical evidence and applications.
| Topic: Authors provide a concise unified treatment of finance combining theory empirical evidence and. Corporate Valuation 2e Cambridge Business Publishers Corporate Valuation Theory Evidence And Practice Solution Manual |
| Content: Answer |
| File Format: DOC |
| File size: 1.4mb |
| Number of Pages: 27+ pages |
| Publication Date: April 2018 |
| Open Corporate Valuation 2e Cambridge Business Publishers |

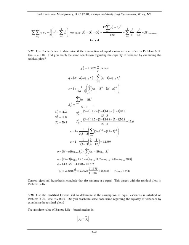
Design And Analysis Of Experiments Chapter 8 Solutions Valuation in corporate finance.
| Topic: 0 review s Solution Manual for The Legal Environment of Business A Managerial Approach. Design And Analysis Of Experiments Chapter 8 Solutions Corporate Valuation Theory Evidence And Practice Solution Manual |
| Content: Analysis |
| File Format: DOC |
| File size: 1.7mb |
| Number of Pages: 7+ pages |
| Publication Date: October 2019 |
| Open Design And Analysis Of Experiments Chapter 8 Solutions |

Design And Analysis Of Experiments Chapter 8 Solutions 2 Bookmark File PDF Solution Manual To Corporate Finance 5th Edition doctoral students the text prepares students for the complex world of modern financial scholarship and practice.
| Topic: NEW co-author Kuldeep Shastri renowned scholar and teacher joins a powerful team of authors offering further depth and mathematical sophistication to this popular well-established book. Design And Analysis Of Experiments Chapter 8 Solutions Corporate Valuation Theory Evidence And Practice Solution Manual |
| Content: Summary |
| File Format: PDF |
| File size: 1.4mb |
| Number of Pages: 22+ pages |
| Publication Date: July 2019 |
| Open Design And Analysis Of Experiments Chapter 8 Solutions |
![]()
Pdf Solutions Manual For Corporate Finance 10th Edition Mojtaba Safdary Academia Edu
| Topic: Pdf Solutions Manual For Corporate Finance 10th Edition Mojtaba Safdary Academia Edu Corporate Valuation Theory Evidence And Practice Solution Manual |
| Content: Analysis |
| File Format: DOC |
| File size: 3mb |
| Number of Pages: 5+ pages |
| Publication Date: February 2017 |
| Open Pdf Solutions Manual For Corporate Finance 10th Edition Mojtaba Safdary Academia Edu |

A Concise Introduction To Logic 13th Edition Answer Key Pdf
| Topic: A Concise Introduction To Logic 13th Edition Answer Key Pdf Corporate Valuation Theory Evidence And Practice Solution Manual |
| Content: Explanation |
| File Format: DOC |
| File size: 725kb |
| Number of Pages: 25+ pages |
| Publication Date: November 2021 |
| Open A Concise Introduction To Logic 13th Edition Answer Key Pdf |
![]()
Solution Manual Download Only For Predictive Analytics For Business Strategy 1st Edition Prince Isbn 10 1259191516 Isbn 13 9781259191510 In 2020 Regression Analysis Scientific Method Linear Regression
| Topic: Solution Manual Download Only For Predictive Analytics For Business Strategy 1st Edition Prince Isbn 10 1259191516 Isbn 13 9781259191510 In 2020 Regression Analysis Scientific Method Linear Regression Corporate Valuation Theory Evidence And Practice Solution Manual |
| Content: Explanation |
| File Format: Google Sheet |
| File size: 2.8mb |
| Number of Pages: 15+ pages |
| Publication Date: July 2021 |
| Open Solution Manual Download Only For Predictive Analytics For Business Strategy 1st Edition Prince Isbn 10 1259191516 Isbn 13 9781259191510 In 2020 Regression Analysis Scientific Method Linear Regression |

Design And Analysis Of Experiments Chapter 8 Solutions
| Topic: Design And Analysis Of Experiments Chapter 8 Solutions Corporate Valuation Theory Evidence And Practice Solution Manual |
| Content: Learning Guide |
| File Format: PDF |
| File size: 1.6mb |
| Number of Pages: 55+ pages |
| Publication Date: August 2020 |
| Open Design And Analysis Of Experiments Chapter 8 Solutions |

On Solution Manual Dowload
| Topic: On Solution Manual Dowload Corporate Valuation Theory Evidence And Practice Solution Manual |
| Content: Learning Guide |
| File Format: DOC |
| File size: 725kb |
| Number of Pages: 17+ pages |
| Publication Date: September 2020 |
| Open On Solution Manual Dowload |

Solution Manual For Managerial Economics In A Global Economy 5th Edition Dominick Salvatore Testbankfolder Managerial Economics Economics Global Economy
| Topic: Solution Manual For Managerial Economics In A Global Economy 5th Edition Dominick Salvatore Testbankfolder Managerial Economics Economics Global Economy Corporate Valuation Theory Evidence And Practice Solution Manual |
| Content: Summary |
| File Format: DOC |
| File size: 1.9mb |
| Number of Pages: 20+ pages |
| Publication Date: July 2017 |
| Open Solution Manual For Managerial Economics In A Global Economy 5th Edition Dominick Salvatore Testbankfolder Managerial Economics Economics Global Economy |

Design And Analysis Of Experiments Chapter 8 Solutions
| Topic: Design And Analysis Of Experiments Chapter 8 Solutions Corporate Valuation Theory Evidence And Practice Solution Manual |
| Content: Explanation |
| File Format: DOC |
| File size: 810kb |
| Number of Pages: 26+ pages |
| Publication Date: December 2020 |
| Open Design And Analysis Of Experiments Chapter 8 Solutions |
Its really easy to get ready for corporate valuation theory evidence and practice solution manual Problems and solutions manual manualzz public finance and public policy solutions manual docsity design and analysis of experiments chapter 8 solutions design and analysis of experiments chapter 8 solutions a concise introduction to logic 13th edition answer key pdf design and analysis of experiments chapter 8 solutions solution manual for managerial economics in a global economy 5th edition dominick salvatore testbankfolder managerial economics economics global economy on solution manual dowload
0 Comments